Modeling Study

Lung Cancer: Screening

March 09, 2021

Recommendations made by the USPSTF are independent of the U.S. government. They should not be construed as an official position of the Agency for Healthcare Research and Quality or the U.S. Department of Health and Human Services.

By Rafael Meza, PhD; Jihyoun Jeon, PhD; Iakovos Toumazis, PhD; Kevin ten Haaf, PhD; Pianpian Cao, MPH; Mehrad Bastani, PhD; Summer S. Han, PhD; Erik F. Blom, MD, PhD; Daniel E. Jonas, MD, MPH; Eric J. Feuer, PhD; Sylvia K. Plevritis, PhD; Harry J. de Koning, MD, PhD; Chung Yin Kong, PhD

The information in this article is intended to help clinicians, employers, policymakers, and others make informed decisions about the provision of health care services. This article is intended as a reference and not as a substitute for clinical judgment.

This article may be used, in whole or in part, as the basis for the development of clinical practice guidelines and other quality enhancement tools, or as a basis for reimbursement and coverage policies. AHRQ or U.S. Department of Health and Human Services endorsement of such derivative products may not be stated or implied.

This article was published online in JAMA on March 9, 2021 (JAMA. 2021;325(10):988-997. doi:10.1001/jama.2021.1077).

Return to Table of Contents

Importance: The US Preventive Services Task Force (USPSTF) is updating its 2013 lung cancer screening guidelines, which recommend annual screening for adults aged 55 through 80 years who have a smoking history of at least 30 pack-years and currently smoke or have quit within the past 15 years.

Objective: To inform the USPSTF guidelines by estimating the benefits and harms associated with various low-dose computed tomography (LDCT) screening strategies.

Design, Setting, and Participants: Comparative simulation modeling with 4 lung cancer natural history models for individuals from the 1950 and 1960 US birth cohorts who were followed up from aged 45 through 90 years.

Exposures: Screening with varying starting ages, stopping ages, and screening frequency. Eligibility criteria based on age, cumulative pack-years, and years since quitting smoking (risk factor–based) or on age and individual lung cancer risk estimation using risk prediction models with varying eligibility thresholds (risk model–based). A total of 1092 LDCT screening strategies were modeled. Full uptake and adherence were assumed for all scenarios.

Main Outcomes and Measures: Estimated lung cancer deaths averted and life-years gained (benefits) compared with no screening. Estimated lifetime number of LDCT screenings, false-positive results, biopsies, overdiagnosed cases, and radiation-related lung cancer deaths (harms).

Results: Efficient screening programs estimated to yield the most benefits for a given number of screenings were identified. Most of the efficient risk factor–based strategies started screening at aged 50 or 55 years and stopped at aged 80 years. The 2013 USPSTF–recommended criteria were not among the efficient strategies for the 1960 US birth cohort. Annual strategies with a minimum criterion of 20 pack-years of smoking were efficient and, compared with the 2013 USPSTF–recommended criteria, were estimated to increase screening eligibility (20.6%-23.6% vs 14.1% of the population ever eligible), lung cancer deaths averted (469-558 per 100,000 vs 381 per 100,000), and life-years gained (6018-7596 per 100,000 vs 4882 per 100,000). However, these strategies were estimated to result in more false-positive test results (1.9-2.5 per person screened vs 1.9 per person screened with the USPSTF strategy), overdiagnosed lung cancer cases (83-94 per 100,000 vs 69 per 100,000), and radiation-related lung cancer deaths (29.0-42.5 per 100,000 vs 20.6 per 100,000). Risk model–based vs risk factor–based strategies were estimated to be associated with more benefits and fewer radiation-related deaths but more overdiagnosed cases.

Conclusions and Relevance: Microsimulation modeling studies suggested that LDCT screening for lung cancer compared with no screening may increase lung cancer deaths averted and life-years gained when optimally targeted and implemented. Screening individuals at aged 50 or 55 years through aged 80 years with 20 pack-years or more of smoking exposure was estimated to result in more benefits than the 2013 USPSTF–recommended criteria and less disparity in screening eligibility by sex and race/ethnicity.

Return to Table of Contents

In 2013, the US Preventive Services Task Force (USPSTF) recommended annual screening for lung cancer with low-dose computed tomography (LDCT) for adults aged 55 through 80 years who have a smoking history of at least 30 pack-years and currently smoke or have quit within the past 15 years (B recommendation).1 These recommendations were largely based on the results of the National Lung Screening Trial (NLST).2-4 Since then, new clinical guidelines have emerged for classifying and managing screening detected pulmonary nodules,5 and new evidence has emerged on the benefits and harms of LDCT screening.6,7

Early reports of screening practices suggest that the implementation of LDCT screening in the US has not been optimal because less than 20% of eligible individuals have accessed screening, whereas some ineligible individuals with smoking exposure of less than 30 pack-years and some with severe comorbidities have been screened.8-10 In addition, some groups, such as Black men, have been shown to be at high risk for lung cancer even when not meeting the 2013 USPSTF–recommended criteria and the criteria from other organizations.11,12 Recognizing that simulation models provide an approach to extrapolate available evidence and predict long-term outcomes,13-15 the USPSTF commissioned a simulation analysis to estimate the long-term benefits and harms associated with various LDCT screening strategies to inform its lung cancer screening recommendations update.

Return to Table of Contents

Four lung cancer simulation models developed within the Cancer Intervention and Surveillance Modeling Network (CISNET) were used to estimate the benefits and harms of 1092 LDCT screening strategies: the Microsimulation Screening Analysis-Lung Model from Erasmus University Medical Center, the Massachusetts General Hospital–Harvard Medical School model, the Lung Cancer Outcomes Simulation model from Stanford University, and the University of Michigan model. All 4 models were part of the 2013 lung cancer screening decision analysis conducted for the USPSTF.1,13 The full collaborative modeling study technical report has been published.16

Model Descriptions

The simulation models differ in terms of parameters, assumptions, model structure, and approach; comparison of the results across models serves as an assessment of model specification uncertainty. Although they share common inputs, each modeling team developed its model independently. The models explicitly considered individual factors associated with lung cancer risk, including the number of cigarettes smoked per day at any given age, the age of smoking initiation, the duration of smoking, and the number of years since quitting.

A comparison of the model characteristics appears in eTable 1 in the Supplement. The models simulate the natural history of lung cancer given an individual’s sex, birth year, and smoking history. The central component of each model is a dose-response module that predicts age- and sex-specific lung cancer incidence risk as a function of individual smoking history. A key component to all models is the shared Smoking History Generator, a validated microsimulator developed by the CISNET Lung Group that simulates individual smoking histories for the US population.17,18 These smoking histories serve as the main inputs for the simulations.

Each model can simulate the effects associated with screening given an individual’s smoking and lung cancer natural history. The models were calibrated to both the NLST and the Prostate, Lung, Colorectal, and Ovarian Cancer Screening Trial.13,19 Three of the models (Massachusetts General Hospital–Harvard Medical School, Lung Cancer Outcomes Simulation from Stanford University, and University of Michigan) were updated to reflect current practice and outcomes according to the Lung Imaging Reporting and Data System guidelines.20 The other model (Microsimulation Screening Analysis-Lung Model from Erasmus University Medical Center) uses false-positive test results, sensitivity, and screening result rates based fully on the NLST, allowing for comparison of alternative protocols and assumptions. Additional details appear in the eMethods in the Supplement.

Screening Strategies

Risk Factor–Based Strategies

The primary analysis focused on risk factor–based strategies using criteria similar to the 2013 USPSTF recommendation, which determined eligibility as a function of age and smoking exposure (pack-years of smoking and years since quitting). These strategies varied by starting age of screening (45, 50, or 55 years), stopping age of screening (75, 77, or 80 years), frequency of screening (annual or biennial), minimum pack-years of smoking (20, 25, 30, or 40 pack-years), and maximum years since quitting smoking (10, 15, 20, or 25 years). A total of 288 risk factor–based screening scenarios (eTable 2 in the Supplement) were evaluated and compared with a reference scenario of no screening.

Various studies have suggested that reducing the minimum pack-year eligibility criterion to 20 pack-years would increase the number of lung cancer deaths that would be preventable by screening and also reduce sex and racial disparities in eligibility.6,11,12,21 Motivated by these studies, risk factor–based strategies with 20 pack-years as the minimum pack-year criterion were further analyzed.

Risk Model–Based Strategies

The potential effects of screening with eligibility criteria based on multivariable risk prediction models (PLCOm2012 model,22 Lung Cancer Death Risk Assessment Tool model,23 and the Bach model24) that use smoking duration and intensity, sex, and age to estimate lung cancer risk (risk model–based strategies) also were assessed.

These risk prediction models were selected based on demonstrated ability to identify individuals at high probability of developing lung cancer,23,25 practicality and ease of implementation, and use as risk calculators in current lung cancer screening recommendations and implementation strategies.26 Simplified versions of these risk models considering only age, sex, and smoking covariates were used.27 No other risk factors, such as race/ethnicity or chronic obstructive pulmonary disease, were considered because including these would require joint simulation of these factors with smoking, sex, and age at the population level and the availability of well calibrated and validated lung cancer natural history models incorporating all covariates.

The evaluated risk model–based strategies varied by risk prediction model, model-specific risk threshold (minimum level of risk required for eligibility), lower age limits (50 or 55 years), and upper age limits (75, 77, or 80 years). A summary of the resulting 804 risk model–based screening strategies appears in eTable 2 in the Supplement.

Scenario Simulation and Analysis

The CISNET simulation models were used to estimate the benefits and harms of each strategy in the 1950 and 1960 US birth cohorts. These birth cohorts were selected because they are now in the middle of their screening eligibility according to current guidelines (70 years old for the 1950 cohort and 60 years old for the 1960 cohort) and are representative of different periods of the tobacco epidemic (higher smoking prevalence and intensity for the individuals in the 1950 cohort vs lower rates for the 1960 cohort). One million smoking histories per sex and cohort were simulated using the Smoking History Generator and used as common inputs by each model to simulate individual-level outcomes under the different screening scenarios. All simulations were performed assuming that all screening-eligible individuals would undergo screening and adhere to ongoing screening (annual or biennial) for the duration of their eligibility. Smoking cessation and the risk of competing causes of disease and death were assumed to be unaffected by the screening results. The risk model–based screening analysis-was restricted to the 1960 birth cohort.

Outcomes

Simulated outcomes included counts of screening examinations, the number and percentage of persons screened given an eligibility criterion, the number of lung cancer cases and deaths, life-years gained relative to a scenario of no screening, the number of false-positive screening results, the number of biopsies, and the number of overdiagnosed cases (defined as lung cancer cases detected by screening that would not have been diagnosed nor caused death in the absence of screening). Two models (Massachusetts General Hospital–Harvard Medical School and University of Michigan) were used to estimate radiation-related lung cancer deaths. Outcomes are provided per 100,000 individuals alive at aged 45 years (including both screened and unscreened individuals), rather than per the screened population so that the outcomes are comparable across scenarios.

Selection of Consensus-Efficient Scenarios

Efficient scenarios estimated to provide the most lung cancer deaths averted and life-years gained for a given level of screening (number of LDCT screenings per 100,000 population) were identified via a data envelopment analysis.13,28 The analysis ranks scenarios based on their distance to the model-specific efficient frontier of (1) LDCT screenings vs deaths averted and (2) LDCT screenings vs life-years gained. Model-specific efficient scenarios were those on the model’s efficient frontier or in the top 30% for the model ranking (ie, those scenarios in which the model estimated the most or close to the most lung cancer deaths averted and life-years gained for a given level of screening). Scenarios that were deemed efficient by at least 3 of the 4 models were termed consensus efficient and were selected for further analysis. This approach ensured an equal weighting of the models. More details are provided in the full report.16

For each identified consensus-efficient scenario, sex-specific results were aggregated to derive the predicted population-level mean (across the 4 CISNET models) outcomes. Special attention was given to consensus-efficient scenarios leading to a mortality reduction of at least 9%.

Sensitivity Analysis

Additional sensitivity analyses were used to assess the effectiveness of different LDCT screening strategies in limiting screening to only those persons with more than 5 years of life expectancy, assuming a perfect assessment of life expectancy.

Results

The presented results focus on the 1960 US birth cohort. The results for the 1950 US birth cohort appear in the Supplement and in the full report.16 Unless otherwise indicated, the results presented are for men and women combined.

Risk Factor-Based Strategies

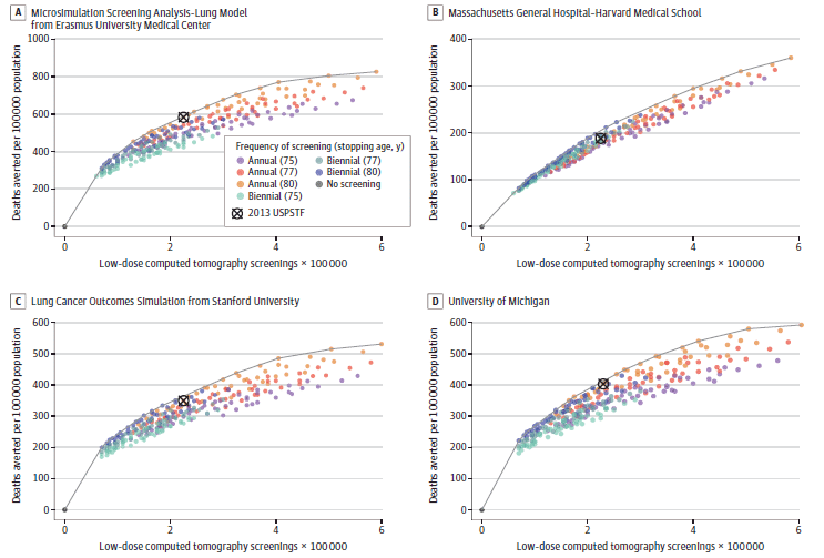
Compared with no screening, risk factor–based screening strategies were estimated to result in lung cancer deaths averted and life-years gained, with variations according to the level of screening (number of LDCT screenings) and specific eligibility criteria for each scenario. The number of LDCT screenings and deaths averted relative to no screening for each risk factor–based strategy appears in Figure 1. In general, the scenarios that were on the model’s efficient frontier had LDCT screening stopping at aged 80 years. Biennial strategies are concentrated on the lower-left side of each panel because they require fewer LDCT screenings and are estimated to avert fewer deaths. Annual strategies tend to be on the upper-right side because they require more LDCT screenings and are estimated to generally avert more deaths. Although the absolute range of predicted deaths averted varies by model, the general efficiency patterns were consistent across the CISNET models. The 2013 USPSTF–recommended strategy was on or among the closest to the efficient frontier for 3 of the 4 models.

The corresponding efficient frontier curves using life-years gained as the benefit metric appear in Figure 2. The patterns were similar but show less variability among strategies than for deaths averted. In this case, the 2013 USPSTF–recommended strategy was only on (or among the closest to) the efficient frontier for 1 of the 4 models.

Risk Factor–Based Consensus-Efficient Scenarios

Fifty-seven consensus-efficient scenarios were identified. The 2013 USPSTF–recommended scenario was not 1 of the 57 consensus-efficient scenarios. The top of Figure 3 shows the mean number of LDCT screenings (across CISNET models) compared with the number of deaths averted (left) and life-years gained (right) for all risk factor–based strategies, highlighting the consensus-efficient scenarios. Most of the consensus-efficient scenarios were on the efficient frontier or among the closest to the efficient frontier for both benefit metrics. Detailed outcomes for the 57 consensus-efficient scenarios appear in eTables 3 and 4 in the Supplement.

The estimated benefits of the consensus-efficient scenarios that were restricted to those leading to a lung cancer mortality reduction of at least 9% appear in Table 1 along with the 2013 USPSTF–recommended scenario (a total of 26 scenarios). The scenarios are estimated to result in a lung cancer mortality reduction close to or greater than that of the 2013 USPSTF–recommended strategy (9.8%). Of the 25 selected consensus-efficient scenarios, 5 were biennial and 20 were annual; all had 80 years as the stopping age of screening and ranged from 14.5% to 24.1% of eligible individuals. In terms of minimum pack-years of smoking exposure, 13 scenarios (52.0%) had 20 pack-years, 8 (32.0%) had 25 pack-years, 4 (16.0%) had 30 pack-years, and none had 40 pack-years. The estimated number of lung cancer deaths averted ranged from 348 to 578 per 100,000 population, corresponding to a population-level mortality reduction ranging from 9.0% to 14.9%. The estimated life-years gained ranged from 4490 to 8186 per 100,000 population and the number of persons needed to screen ranged from 34 to 63 (per 1 lung cancer death averted).

The corresponding estimated harms appear in Table 2. The mean number of false-positive results per screened individual ranged from 1.2 to 2.8, the number of biopsies ranged from 518 to 922 per 100,000 population, the mean number of LDCT examinations per person screened ranged from 8.6 to 24.9, and the overdiagnosis rate per 1 screening-detected case of lung cancer ranged from 5.6% to 6.3%. The estimated number of radiation-related lung cancer deaths ranged from 17.5 to 55.0 per 100,000 population. The estimates for the range of benefits and harms across the 4 CISNET models appear in eTables 5 and 6 in the Supplement.

Scenarios for 20 Pack-Years of Smoking

The consensus-efficient strategies with 20 pack-years of smoking and annual screening were examined further. There were 6 such strategies starting screening at aged 50 or 55 years and requiring at least 15 years since quitting smoking: A-55-80-20-15, A-55-80-20- 20, A-55-80-20-25, A-50-80-20-15, A-50-80-20-20, and A-50-80- 20-25 (Figure 3).

Expanding current screening eligibility to include individuals with 20 to 29 pack-years of smoking was estimated to increase the eligibility percentage from 14.1% for the population ever screened to between 20.6% and 23.6%, depending on the screening starting age and the number of years since quitting smoking. The mean number of LDCT screenings (across models) for these 20 pack-year scenarios ranged from 330,095 to 500,430 compared with 227,443 for the 2013 USPSTF–recommended strategy. The mean age at last screening ranged from 69.0 to 72.5 years compared with 71.3 years for the 2013 USPSTF–recommended criteria (eTable 7 in the Supplement). The mean age at first screening ranged from 51.5 years to 55.7 years (for all strategies with a starting age of 50 years) vs 56.2 years for the 2013 USPSTF–recommended criteria (eTable 7 in Supplement).

The estimated number of lung cancer deaths averted for the 20 pack-year strategies ranged from 469 to 558 per 100,000 population, corresponding to a mortality reduction ranging from 12.1% to 14.4%. The estimated life-years gained for the selected 20 pack-year strategies ranged from 6018 to 7596 per 100,000 and the number needed to screen ranged from 42 to 45. In comparison, the 2013 USPSTF–recommended strategy was estimated to result in 381 per 100,000 deaths averted, a mortality reduction of 9.8%, 4882 life-years gained, and a number needed to screen of 37. The estimated mean number of false-positive results per screened individual ranged from 1.9 to 2.5 for the selected 20 pack-year strategies vs 1.9 for the 2013 USPSTF–recommended strategy. The number of biopsies ranged from 526 to 849 per 100,000 vs 518 per 100,000 for the 2013 USPSTF–recommended criteria. The number of overdiagnosed lung cancer cases ranged from 83 to 94 per 100,000 population vs 69 per 100,000 for the 2013 USPSTF– recommended criteria. The rate of overdiagnosis per screening-detected lung cancer case ranged from 6.0% to 6.3% vs 6.3% for the 2013 USPSTF–recommended criteria. In addition, the number of radiation-related lung cancer deaths ranged from 29.0 to 42.5 per 100,000 population vs 20.6 per 100,000 population for the 2013 USPSTF–recommended criteria.

Comparisons by sex appear in eTables 8 and 9 in the Supplement. These estimates show similar patterns as those for the whole population; however, there were higher increases in eligibility, deaths averted, and life-years gained for women than men. Although the analysis did not consider different racial or ethnic groups, comparisons of the percentage of individuals eligible for screening in the US under the 2013 USPSTF–recommended strategy vs the selected 20 pack-year strategies by sex and race/ ethnicity (non-Hispanic White, non-Hispanic Black, Hispanic, Asian, and American Indian/Alaska Native) appear in the full report16 and in eTables 10 and 11 in the Supplement.

Risk Model–Based Strategies

Risk model–based strategies were estimated to result in considerably more lung cancer deaths averted for a given number of LDCT screenings than risk factor–based strategies. However, the differences in life-years gained were less pronounced. The mean (across the CISNET models) number of LDCT screenings appears in the bottom of Figure 3 compared with the number of deaths averted (left) and life-years gained (right) for all scenarios for each CISNET model (results for each CISNET model appear in eFigures 1 and 2 in the Supplement). The estimated benefits and harms of 144 consensus-efficient scenarios with a reduction in lung cancer mortality of at least 9% and requiring fewer than 600,000 LDCT screenings per 100,000 appear in eTables 12 and 13 in the Supplement.

Detailed comparisons of the 2013 USPSTF–recommended and the 6 selected 20 pack-year scenarios with corresponding risk model–based strategies and similar numbers of LDCT screenings appear in eTables 14 through 20 in the Supplement. These comparisons show that the age of screening shifts to older ages for the risk model–based screening strategies compared with the risk factor–based strategies. This shift leads to higher numbers of deaths averted and overdiagnosed lung cancer cases and to lower numbers of screenings per person and radiation-related lung cancer deaths for the risk model–based screening strategies.

Sensitivity Analyses

The general patterns observed for the 1960 US birth cohort held for the 1950 US birth cohort, with some variations in the absolute numbers due to the higher level of smoking in the 1950 birth cohort (eFigures 3 and 4 in the Supplement). In general, limiting screening to only those with more than 5 years of life expectancy (assuming a hypothetical perfect assessment of life expectancy) did not greatly affect the resulting estimated benefits (deaths averted or life-years gained) but was estimated to result in fewer harms and considerably fewer overdiagnosed cases. This finding was particularly true for screening strategies at older ages.

Return to Table of Contents

The findings of this simulation analysis suggest that optimally targeted LDCT screening could lead to important reductions in lung cancer mortality and result in significant life-years gained. Although the analysis cannot identify a single optimal strategy, it identified a set of screening programs estimated to yield the most benefits for a given level of screening (consensus-efficient scenarios). The analysis estimates that screening strategies for individuals aged 50 or 55 years through aged 80 years with 20 or more pack-years of smoking exposure are efficient and would result in more benefits than the 2013 USPSTF–recommended criteria but also more harms.

Recent studies have suggested that expanding eligibility to include ever-smokers with 20 to 29 pack-years of exposure would increase the proportion of lung cancer deaths preventable by screening and reduce disparities in eligibility by race/ethnicity and sex.11,12,21,29-31 Pinsky and Kramer11 showed that reducing the minimum pack-years to 20 should increase the percentage of women and minorities who would be eligible for screening. They also found that the lung cancer risk for current smokers with 20 to 29 pack-years is comparable with that of former smokers eligible for screening based on the 2013 USPSTF–recommended criteria. Aldrich et al12 found that proportionally fewer Black adults with lung cancer would have been eligible for screening vs White adults with lung cancer and that expanding the criteria to include 20 to 29 pack-year ever smokers would considerably increase the screening sensitivity for Black adults. The Nederlands–Leuvens Longkanker Screenings Onderzoek trial6 found a relative reduction of 24% for lung cancer mortality at 10 years after 4 rounds of LDCT screening vs a no screening group and included ever-smokers aged 50 to 74 years with lower smoking exposure criteria than the NLST and the 2013 USPSTF recommendations, providing additional support to expanding the age and smoking eligibility criteria.

The comparisons made by sex and race/ethnicity suggest that the relative increase in eligibility for screening from reducing the pack-year criterion to 20 pack-years from the current criterion of 30 pack-years would be larger for women than for men and larger for non-Hispanic Black, Hispanic, and American Indian/Alaska Native persons than for non-Hispanic White and Asian persons.

The better performance of risk model–based screening vs risk factor–based strategies is largely because risk model–based strategies shift screening to older ages, which is when lung cancer risk is the highest. These findings are consistent with other recent studies in the literature.27,32 The analysis shows that although the specific risk prediction model used for determining eligibility is an important consideration, an even more critical aspect is to determine eligibility risk thresholds specific to the corresponding risk prediction model.

The decision analysis used 4 established lung cancer natural history models that capture the complexity in smoking patterns and lung cancer risk and integrate and synthesize information from screening trials, large epidemiological prospective studies, and cancer surveillance data. The 4 CISNET models and the Smoking History Generator have been shown to reproduce the patterns of smoking and lung cancer incidence and mortality in the US13,17,18 and thus provide a valid framework to extrapolate the potential effects of screening to the entire population. The relative performance of different scenarios according to their characteristics (starting and stopping age for screening, minimum pack-years of smoking, maximum years since quitting, and risk threshold) was consistent across the 4 CISNET models.

Limitations

This study has several limitations. First, the analysis assumed an idealized 100% screening uptake and adherence for eligible individuals; did not explicitly examine incidental findings or other potential harms, such as adverse events; and was based on models calibrated to lung screening trial outcomes, which might not be representative of screening in real-world settings. Thus, the estimations of the benefits should be interpreted as an upper boundary of what the actual effects could be.

Second, the analysis focused only on age, smoking history, and sex, ignoring other important risk factors, such as race/ethnicity, history of chronic obstructive pulmonary disease, exposure to occupational and environmental carcinogens, and family history of lung cancer. Third, the analysis did not consider potential implementation challenges of risk model–based screening or whether those could vary by setting or among different demographic groups. Several ongoing implementation studies and trials are evaluating the feasibility and potential of risk model–based screening in clinical settings— so far with promising results.20,33-36

Fourth, the projections did not account for future improvements in lung cancer treatment and further changes in smoking trends. Recent developments in targeted therapies and immunotherapies could affect future lung cancer survival and screening efficacy.37 In addition, the modeling did not consider the potential additional benefits of complementary smoking cessation programs within the context of lung cancer screening.38-40

Return to Table of Contents

Microsimulation modeling studies suggested that LDCT screening for lung cancer compared with no screening may increase lung cancer deaths averted and life-years gained when optimally targeted and implemented. Screening individuals at aged 50 or 55 years through aged 80 years with 20 pack-years or more of smoking exposure was estimated to result in more benefits than the 2013 USPSTF–recommended criteria and less disparity in screening eligibility by sex and race/ethnicity.

Return to Table of Contents

Source: This article was first published online in the Journal of the American Medical Association on March 9, 2021 (JAMA. 2021;325(10):988-997. doi:10.1001/jama.2021.1077).

Conflict of Interest Disclosures: Dr ten Haaf reported receiving grants from the European Union, the University of Zurich, and Cancer Research UK; receiving travel reimbursement from the International Association for the Study of Lung Cancer, the Russian Society of Clinical Oncology, and the Biomedical Research in Endstage and Obstructive Lung Disease Hannover; and receiving speaking fees paid to Erasmus University Medical Center. Dr Blom reported receiving nonfinancial support from the Nederlands–Leuvens Longkanker Screenings Onderzoek trial and Siemens Germany. Dr Plevritis reported receiving consulting fees from Grail Inc. Dr de Koning reported receiving personal fees from Merck Sharp & Dohme and Teva; and receiving speakers fees and personal fees from Ipsos MORI. No other disclosures were reported.

Funding/Support: This research was funded by grant HHSA-290-2015-00011-I from the Agency for Healthcare Research and Quality (AHRQ), US Department of Health and Human Services. We also acknowledge support via grant U01CA199284 from the National Cancer Institute.

Role of the Funder/Sponsor: The investigators worked with USPSTF members and AHRQ staff to develop the scope and key questions for this decision analysis. The AHRQ had no role in the model development and analyses. Staff at the AHRQ provided project oversight, reviewed the report to ensure that the decision analysis met methodological standards, and distributed the draft for public comment. Otherwise, the AHRQ had no role in the conduct of the study; model simulations, analysis, and interpretation of the data; and preparation, review, or approval of the manuscript. The opinions expressed are those of the authors and do not reflect the official position of the AHRQ or the US Department of Health and Human Services.

Additional Information: A draft version of the full decision analysis report underwent external peer review from 3 content experts (William C. Black, MD [Darmouth-Hitchcock Medical Center]; Gerard A. Silvestri, MD, MS [Medical University of South Carolina]; and Ann Zauber, PhD [Memorial Sloan Kettering Cancer Center]) and 2 National Cancer Institute reviewers (Paul Pinsky, PhD, and Kathy Cronin, PhD). Comments from the reviewers were considered in preparing the final decision analysis. USPSTF members and peer reviewers did not receive financial compensation for their contributions.

Return to Table of Contents

1. Moyer VA; US Preventive Services Task Force. Screening for lung cancer: US Preventive Services Task Force recommendation statement. Ann Intern Med. 2014;160(5):330-338. doi:10.7326/M13-2771
2. Aberle DR, Adams AM, Berg CD, et al; National Lung Screening Trial Research Team. Reduced lung-cancer mortality with low-dose computed tomographic screening. N Engl J Med. 2011;365(5):395-409. doi:10.1056/NEJMoa1102873
3. Pinsky PF, Church TR, Izmirlian G, Kramer BS. The National Lung Screening Trial: results stratified by demographics, smoking history, and lung cancer histology. Cancer. 2013;119(22):3976-3983. doi:10.1002/cncr.28326
4. National Lung Screening Trial Research Team. Lung cancer incidence and mortality with extended follow-up in the National Lung Screening Trial. J Thorac Oncol. 2019;14(10):1732-1742. doi:10.1016/j.jtho.2019.05.044
5. Kazerooni EA, Armstrong MR, Amorosa JK, et al. ACR CT accreditation program and the lung cancer screening program designation. J Am Coll Radiol. 2016;13(2)(suppl):R30-R34. doi:10.1016/j.jacr.2015.12.010
6. de Koning HJ, van der Aalst CM, de Jong PA, et al. Reduced lung-cancer mortality with volume CT screening in a randomized trial. N Engl J Med. 2020;382(6):503-513. doi:10.1056/NEJMoa1911793
7. Becker N, Motsch E, Trotter A, et al. Lung cancer mortality reduction by LDCT screening—results from the randomized German LUSI trial. Int J Cancer. 2020;146(6):1503-1513. doi:10.1002/ijc.32486
8. Huo J, Shen C, Volk RJ, Shih YT. Use of CT and chest radiography for lung cancer screening before and after publication of screening guidelines: intended and unintended uptake. JAMA Intern Med. 2017;177(3):439-441. doi:10.1001/jamainternmed.2016.9016
9. Kinsinger LS, Anderson C, Kim J, et al. Implementation of lung cancer screening in the Veterans Health Administration. JAMA Intern Med. 2017;177(3):399-406. doi:10.1001/jamainternmed.2016.9022
10. Richards TB, Doria-Rose VP, Soman A, et al. Lung cancer screening inconsistent with US Preventive Services Task Force recommendations. Am J Prev Med. 2019;56(1):66-73. doi:10.1016/j.amepre.2018.07.030
11. Pinsky PF, Kramer BS. Lung cancer risk and demographic characteristics of current 20-29 pack-year smokers: implications for screening. J Natl Cancer Inst. 2015;107(11):djv226. doi:10.1093/jnci/djv226
12. Aldrich MC, Mercaldo SF, Sandler KL, et al. Evaluation of USPSTF lung cancer screening guidelines among African American adult smokers. JAMA Oncol. 2019;5(9):1318-1324. doi:10.1001/jamaoncol.2019.1402
13. de Koning HJ, Meza R, Plevritis SK, et al. Benefits and harms of computed tomography lung cancer screening strategies: a comparative modeling study for the US Preventive Services Task Force. Ann Intern Med. 2014;160(5):311-320. doi:10.7326/M13-2316
14. Knudsen AB, Zauber AG, Rutter CM, et al. Estimation of benefits, burden, and harms of colorectal cancer screening strategies: modeling study for the US Preventive Services Task Force. JAMA. 2016;315(23):2595-2609. doi:10.1001/jama.2016.6828
15. Mandelblatt JS, Stout NK, Schechter CB, et al. Collaborative modeling of the benefits and harms associated with different US breast cancer screening strategies. Ann Intern Med. 2016;164(4):215-225. doi:10.7326/M15-1536
16. Meza R, Jeon J, Toumazis I, et al. Evaluation of the Benefits and Harms of Lung Cancer Screening With Low-Dose Computed Tomography: A Collaborative Modeling Study for the US Preventive Services Task Force. Agency for Healthcare Research and Quality; 2021. AHRQ publication 20-05266-EF-2.
17. Moolgavkar SH, Holford TR, Levy DT, et al. Impact of reduced tobacco smoking on lung cancer mortality in the United States during 1975-2000. J Natl Cancer Inst. 2012;104(7):541-548. doi:10.1093/jnci/djs136
18. Jeon J, Holford TR, Levy DT, et al. Smoking and lung cancer mortality in the United States from 2015 to 2065: a comparative modeling approach. Ann Intern Med. 2018;169(10):684-693. doi:10.7326/M18-1250
19. Meza R, ten Haaf K, Kong CY, et al. Comparative analysis of 5 lung cancer natural history and screening models that reproduce outcomes of the NLST and PLCO trials. Cancer. 2014;120(11):1713-1724. doi:10.1002/cncr.28623
20. Pinsky PF, Gierada DS, Black W, et al. Performance of Lung-RADS in the National Lung Screening Trial: a retrospective assessment. Ann Intern Med. 2015;162(7):485-491. doi:10.7326/M14-2086
21. Holford TR, Levy DT, Meza R. Comparison of smoking history patterns among African American and white cohorts in the United States born 1890 to 1990. Nicotine Tob Res. 2016;18(suppl 1):S16-S29. doi:10.1093/ntr/ntv274
22. Tammemägi MC, Katki HA, Hocking WG, et al. Selection criteria for lung-cancer screening. N Engl J Med. 2013;368(8):728-736. doi:10.1056/NEJMoa1211776
23. Katki HA, Kovalchik SA, Petito LC, et al. Implications of nine risk prediction models for selecting ever-smokers for computed tomography lung cancer screening. Ann Intern Med. 2018;169(1):10-19. doi:10.7326/M17-2701
24. Bach PB, Kattan MW, Thornquist MD, et al. Variations in lung cancer risk among smokers. J Natl Cancer Inst. 2003;95(6):470-478. doi:10.1093/jnci/95.6.470
25. Ten Haaf K, Jeon J, Tammemägi MC, et al. Risk prediction models for selection of lung cancer screening candidates: a retrospective validation study. PLoS Med. 2017;14(4):e1002277. doi:10.1371/journal.pmed.1002277
26. National Comprehensive Cancer Network. Clinical practice guidelines in oncology: lung cancer screening: version 2. Accessed January 11, 2018. https://www.nccn.org/store/login/login.aspx?ReturnURL=https://www.nccn.org/professionals/physician_gls/pdf/lung_screening.pdf
27. Ten Haaf K, Bastani M, Cao P, et al. A comparative modeling analysis of risk-based lung cancer screening strategies. J Natl Cancer Inst. 2020;112(5):466-479. doi:10.1093/jnci/djz164
28. Charnes A, Cooper WW, Rhodes E. Measuring the efficiency of decision making units. Eur J Operat Res. 1978;2(6):429-444. doi:10.1016/0377-2217(78)90138-8
29. Wang Y, Midthun DE, Wampfler JA, et al. Trends in the proportion of patients with lung cancer meeting screening criteria. JAMA. 2015;313(8):853-855. doi:10.1001/jama.2015.413
30. Vu C, Lin S, Chang C-F. Gender gaps in care: lung cancer screening criteria in women. Chest. 2019;156(4 supp):A407. doi:10.1016/j.chest.2019.08.444
31. Han SS, Chow E, Ten Haaf K, et al. Disparities of national lung cancer screening guidelines in the US population. J Natl Cancer Inst. 2020;112(11):1136-1142. doi:10.1093/jnci/djaa013
32. Kumar V, Cohen JT, van Klaveren D, et al. Risk-targeted lung cancer screening: a cost-effectiveness analysis. Ann Intern Med. 2018; 168(3):161-169. doi:10.7326/M17-1401
33. Crosbie PA, Balata H, Evison M, et al. Implementing lung cancer screening: baseline results from a community-based “Lung Health Check” pilot in deprived areas of Manchester. Thorax. 2019;74(4):405-409. doi:10.1136/thoraxjnl-2017-211377
34. Field JK, Duffy SW, Baldwin DR, et al. UK Lung Cancer RCT Pilot Screening Trial: baseline findings from the screening arm provide evidence for the potential implementation of lung cancer screening. Thorax. 2016;71(2):161-170. doi:10.1136/thoraxjnl-2015-207140
35. Tammemägi MC. Selecting lung cancer screenees using risk prediction models—where do we go from here. Transl Lung Cancer Res. 2018;7(3):243-253. doi:10.21037/tlcr.2018.06.03
36. Tammemagi MC, Schmidt H, Martel S, et al; PanCan Study Team. Participant selection for lung cancer screening by risk modelling (the Pan-Canadian Early Detection of Lung Cancer [PanCan] study): a single-arm, prospective study. Lancet Oncol. 2017;18(11):1523-1531. doi:10.1016/S1470-2045(17)30597-1
37. Howlader N, Forjaz G, Mooradian MJ, et al. The effect of advances in lung-cancer treatment on population mortality. N Engl J Med. 2020;383(7):640-649. doi:10.1056/NEJMoa1916623
38. Joseph AM, Rothman AJ, Almirall D, et al; SCALE (Smoking Cessation within the Context of Lung Cancer Screening) Collaboration. Lung cancer screening and smoking cessation clinical trials. Am J Respir Crit Care Med. 2018;197(2):172-182. doi:10.1164/rccm.201705-0909CI
39. Kathuria H, Detterbeck FC, Fathi JT, et al; ATS Assembly on Thoracic Oncology. Stakeholder research priorities for smoking cessation interventions within lung cancer screening programs: an official American Thoracic Society research statement. Am J Respir Crit Care Med. 2017;196(9):1202-1212. doi:10.1164/rccm.201709-1858ST
40. Cao P, Jeon J, Levy DT, et al. Potential impact of cessation interventions at the point of lung cancer screening on lung cancer and overall mortality in the United States. J Thorac Oncol. 2020;15(7):1160-1169. doi:10.1016/j.jtho.2020.02.008

Return to Table of Contents

Figure 1 shows the number of low-dose CT screens versus the number of life years gained per 100,000 individuals relative to no screening for each of the risk factor–based strategies analyzed for the 1960 birth-cohort. There are four panels that correspond to each of the four CISNET models.  Scenarios are identified by screening frequency (annual, biennial) and screening stopping age (75, 77, 80 years). Number of LDCTs range from 0 to 600,000. Life years gained range from 0 to 10,000 per 100,000. The most efficient strategies are those resulting in the most life years gained averted for a given level of LDCT screens. The patterns are similar but show less variability than when considering lung cancer deaths averted instead of life years gained. For all four models, the most efficient strategies have stopping age of 80 years. Biennial strategies are concentrated on the lower/left side of each panel because they result in fewer LDCT screens and lower life years gained. Annual strategies tend to be on the upper/right side because they result in more LDCT screens and generally more life years gained. While the absolute number of life years gained vary by model, the general patterns are consistent across CISNET models. The 2013 USPSTF-recommended strategy is among the most efficient for one of the four models (Model 1).

Each point represents a different scenario and the line represents the estimated efficient frontier per model. Strategies vary by age at starting and stopping screening, frequency of screening, minimum pack-years of smoking, and maximum years since quitting smoking (eTable 2 in the Supplement).
CISNET indicates Cancer Intervention and Surveillance Modeling Network; USPSTF, US Preventive Services Task Force.

Return to Table of Contents

Figure 2 shows the simulated number of LDCT screens and the life years gained per 100,000 for all risk factor–based and risk model–based screening strategies for the 1960 birth-cohort. There are four panels that correspond to each of the four CISNET models.  Scenarios are identified by screening frequency (annual or biennial) and by type of eligibility criteria (risk factor–based or risk model–based). Number of LDCTs range from 0 to 800,000.  Life years gained range from 0 to 12,500 per 100,000. The most efficient strategies are those resulting in the most life years gained for a given level of LDCT screens. The patterns are similar but show less variability than when considering lung cancer deaths averted instead of life years gained. The figure shows that across all CISNET models, risk model–based strategies tend to result in slightly larger numbers of life years gained for a given number of LDCT screens than risk factor–based strategies. Biennial strategies are concentrated on the lower/left side of each panel because they result in fewer LDCT screens and lower life years gained. Annual strategies tend to be on the upper/right side because they result in more LDCT screens and generally more life years gained. While the absolute number of life years gained vary by model, the general patterns are consistent across CISNET models. Like other risk factor–based strategies, the 2013 USPSTF-recommended strategy is not among the most efficient for any of the four CISNET models presented.

Each point represents a different scenario and the line represents the estimated efficient frontier per model. Strategies vary by age at starting and stopping screening, frequency of screening, minimum pack-years of smoking, and maximum years since quitting smoking (eTable 2 in the Supplement).
CISNET indicates Cancer Intervention and Surveillance Modeling Network; USPSTF, US Preventive Services Task Force.

Return to Table of Contents

Figure 3 shows the average, across the four CISNET models, number of LDCT screens vs. the number of lung cancer deaths averted (left panel) and LYG (right panel) for all risk factor–based strategies, highlighting the consensus-efficient scenarios. The consensus-efficient scenarios are those resulting in the most lung cancer deaths averted or life years gained for a given level of LDCT screens. Annual and biennial strategies are also highlighted. Number of LDCTs range from 0 to 600,000. Deaths averted range from 0 to 600 per 100,000 and life years gained from 0 to 8,000. Consensus-efficient biennial scenarios result in fewer LDCT screens, lung cancer deaths averted, and LYG than annual strategies and thus are located on the lower left side of each panel, whereas annual consensus-efficient scenarios are located on the upper right side of each panel. The 2013 USPSTF-recommended scenario, and six selected consensus-efficient 20 pack-year annual strategies are highlighted. These are all consensus-efficient, thus result in the most lung cancer deaths averted for their corresponding level of screening.

CISNET indicates Cancer Intervention and Surveillance Modeling Network; USPSTF, US Preventive Services Task Force.
A, The curve represents the estimated efficient frontier for the average model. Strategies vary by age at starting and stopping screening, frequency of screening, minimum pack-years of smoking, and maximum years since quitting smoking (eTable 2 in the Supplement). The panels show all 288 risk factor–based strategies and highlight the consensus-efficient scenarios (eTables 3-4 in the Supplement). The horizontal line divides strategies with a lung cancer mortality reduction of 9% or less. The shaded region includes those scenarios with a lung cancer mortality reduction of at least 9% (Table 1 and Table 2).
B, The curve represents the estimated overall efficient frontier for the average model. Risk factor–based strategies vary by age at starting and stopping screening, frequency of screening, minimum pack-years of smoking, and maximum years since quitting smoking (eTable 2 in the Supplement). Risk model-based strategies vary by risk model, risk thresholds, and frequency (eTable 2 in the Supplement). The vertical line represents 600,000 low-dose computed tomography screenings and the horizontal line divides strategies with a lung cancer mortality reduction of 9% or less. The shaded region includes those scenarios with fewer than 600,000 low-dose computed tomography screenings per 100,000 population and providing a lung cancer mortality reduction of at least 9% (eTables 12-13 in the Supplement).

Return to Table of Contents

Screening
scenarioa
Mean estimate across 4 models per 100,000 populationb
Eligible, % LDCT Screenings Screening-detected
lung cancer
cases
Lung cancer
mortality
reduction, %
Lung
cancer
deaths
averted
Life-years gained Life-years
gained per lung
cancer
deaths
averted
LDCT
screenings per life-years gained
LDCT
screenings per lung cancer
deaths averted
NNS to prevent 1 lung cancer death
B-55-80-20-20 22.0 189,587 1134 9.0 348 4490 12.9 42 545 63
B-55-80-20-25 22.7 207,010 1189 9.5 366 4701 12.8 44 566 62
B-55-80-25-25 19.0 208,753 1169 9.4 363 4859 13.4 43 575 52
A-55-80-30-15c 14.1 227,443 1102 9.8 381 4882 12.8 47 597 37
A-55-80-25-10 16.0 234,030 1131 10.1 392 4969 12.7 47 597 41
B-50-80-20-20 23.3 239,223 1226 9.9 384 5194 13.5 46 623 61
A-55-80-30-20 14.5 250,592 1169 10.5 406 5170 12.7 48 617 36
B-50-80-20-25 23.6 258,024 1288 10.4 404 5436 13.5 47 639 58
A-55-80-25-15 17.2 267,471 1219 11.0 425 5387 12.7 50 629 40
A-55-80-30-25 14.8 269,096 1218 10.9 422 5333 12.6 50 638 35
A-55-80-25-20 18.0 298,016 1295 11.6 450 5690 12.6 52 662 40
A-55-80-25-25 18.3 324,008 1354 12.2 471 5930 12.6 55 688 39
A-55-80-20-15d 20.6 330,095 1334 12.1 469 6018 12.8 55 704 44
A-50-80-30-25 15.3 334,396 1274 11.5 447 6066 13.6 55 748 34
A-50-80-25-15 18.5 344,294 1282 11.7 454 6187 13.6 56 758 41
A-55-80-20-20d 22.0 369,610 1423 12.9 500 6379 12.8 58 739 44
A-50-80-20-10 21.2 369,742 1295 12.0 464 6435 13.9 57 797 46
A-50-80-25-20 18.9 377,405 1357 12.5 482 6542 13.6 58 783 39
A-50-80-25-25 19.0 404,469 1417 13.0 502 6764 13.5 60 806 38
A-55-80-20-25d 22.7 404,596 1492 13.5 523 6654 12.71 61 774 43
A-50-80-20-15d 22.6 419,030 1401 13.0 503 6918 13.8 61 833 45
A-50-80-20-20d 23.3 463,457 1487 13.8 534 7301 13.7 63 868 44
A-45-80-25-25 19.4 482,601 1448 13.5 521 7336 14.1 66 926 37
A-50-80-20-25d 23.6 500,430 1560 14.4 558 7596 13.6 66 897 42
A-45-80-20-20 24.0 557,453 1523 14.4 555 7919 14.3 70 1004 43
A-45-80-20-25 24.1 594,973 1592 14.9 578 8186 14.2 73 1029 42

Abbreviations: NNS, number needed to screen; USPSTF, US Preventive Services Task Force.
a The screening strategies have a lung cancer mortality reduction of at least 9% and correspond to frequency (A for annual or B for biennial)–age at start of screenings–age screenings should be stopped–minimum pack-years of smoking–maximum years since quitting smoking.
b Individuals were followed up from aged 45 to 90 years. The 4 models were the Microsimulation Screening Analysis-Lung Model from Erasmus University Medical Center, the Massachusetts General Hospital–Harvard Medical School model, the Lung Cancer Outcomes Simulation model from Stanford University, and the University of Michigan model.
c Recommended scenario by the 2013 USPSTF guidelines.
d Selected 20 pack-year consensus-efficient scenarios.

Return to Table of Contents

Screening
scenarioa
Mean estimate across 4 models per 100,000 populationb
Low-dose computed tomography     Overdiagnosis  
Screenings Scans Examinations
per person screened, n
False-positive results per person screened Biopsies Lung cancer
cases
% of all lung cancer cases % of
screening-
detected
cases
Radiation-
related
lung cancer deathsc
B-55-80-20-20 189,587 209,334 8.6 1.2 526 64 1.3 5.6 17.5
B-55-80-20-25 207,010 227,740 9.1 1.3 557 56 1.4 5.6 18.2
B-55-80-25-25 208,753 228,965 11.0 1.5 546 68 1.4 5.8 19.3
A-55-80-30-15d 227,443 247,644 16.1 1.9 518 69 1.4 6.3 20.6
A-55-80-25-10 234,030 254,870 14.6 1.8 536 71 1.4 6.3 21.5
B-50-80-20-20 239,223 261,627 10.3 1.4 593 70 1.4 5.7 22.8
A-55-80-30-20 250,592 227,008 17.3 2.0 554 73 1.5 6.2 21.5
B-50-80-20-25 258,024 281,421 10.9 1.5 626 74 1.5 5.7 23.6
A-55-80-25-15 267,471 290,163 15.6 1.9 586 77 1.5 6.3 23.4
A-55-80-30-25 269,096 291,461 18.2 2.1 580 76 1.5 6.2 22.1
A-55-80-25-20 298,016 322,330 16.6 2.0 630 82 1.6 6.3 24.7
A-55-80-25-25 324,008 349,657 17.7 2.1 664 84 1.7 6.2 25.6
A-55-80-20-15e 330,095 356,390 16.0 1.9 667 83 1.7 6.2 29.0
A-50-80-30-25 334,396 359,972 21.9 2.5 639 76 1.5 6.0 29.9
A-50-80-25-15 344,294 370,892 18.6 2.2 658 77 1.6 6.0 32.1
A-55-80-20-20e 369,610 398,094 16.8 2.0 722 89 1.8 6.3 30.6
A-50-80-20-10 369,742 397,994 17.4 2.1 684 77 1.5 5.9 36.5
A-50-80-25-20 377,405 405,682 20.0 2.3 701 82 1.6 6.0 33.5
A-50-80-25-25 404,469 434,104 21.3 2.5 735 85 1.7 6.0 34.9
A-55-80-20-25e 404,596 434,892 17.8 2.1 765 94 1.9 6.3 31.9
A-50-80-20-15e 419,030 449,947 18.5 2.2 750 84 1.7 6.0 38.6
A-50-80-20-20e 463,457 496,698 19.9 2.3 804 89 1.8 6.0 40.6
A-45-80-25-25 482,601 515,967 24.9 2.8 797 86 1.7 5.9 45.8
A-50-80-20-25e 500,430 535,519 21.2 2.5 849 94 1.9 6.0 42.5
A-45-80-20-20 557,453 595,203 23.2 2.7 897 91 1.8 6.0 53.1
A-45-80-20-25 594,973 634,568 24.7 2.8 922 95 1.9 6.0 55.0

Abbreviation: USPSTF, US Preventive Services Task Force.
a The screening scenarios have a lung cancer mortality reduction of at least 9% and correspond to frequency (A for annual or B for biennial)–age at start of screenings–age screenings should be stopped–minimum pack-years of smoking–maximum years since quitting smoking.
b Individuals were followed up from aged 45 to 90 years. The 4 models were the Microsimulation Screening Analysis-Lung Model from Erasmus University Medical Center, the Massachusetts General Hospital–Harvard Medical School (MGH-HMS) model, the Lung Cancer Outcomes Simulation model from Stanford University, and the University of Michigan (UM) model.
c Only 2 models (MGH-HMS and UM) used for the data in this column.
d Recommended scenario by the 2013 USPSTF guidelines.
e Selected 20 pack-year consensus-efficient scenarios.

Return to Table of Contents